Ответы
Ответ дал:
0
V=(n*R^2*h)/3
D=2R >> R=10/2=5
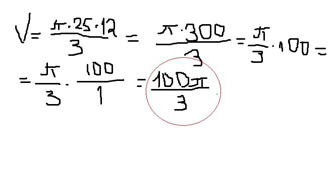
V=(n*25*12)/3=(n*300)/3=n/3*100=100n/3(это точное значение, если n=3.14,тогда (100*3.14)/3=104,6(приблизительно)...
D=2R >> R=10/2=5
V=(n*25*12)/3=(n*300)/3=n/3*100=100n/3(это точное значение, если n=3.14,тогда (100*3.14)/3=104,6(приблизительно)...
Приложения:

Ответ дал:
0
V=(π*25*12)/3 ⇒ после сокращения 12 и 3 получите V=π*25*4= 100π
Ответ дал:
0
Каждый может допустить ошибку. Не криминал, - её можно исправить. Просто грубить не стоит.
Ответ дал:
0
извини конечно,что ты увидел(ла) в моем комментарии грубость...... я просто сказала что ты тоже можешь решить задание по-своему....
Ответ дал:
0
никто не идеален, и каждый может допустить ошибку...
Ответ дал:
0
Как бы мы ни решали, ответ должен получиться одним и тем же - математика точная наука. Итак, зоо π делим на 3. Результат равен 100π.
Вас заинтересует
2 года назад
2 года назад
7 лет назад
7 лет назад
9 лет назад
9 лет назад
10 лет назад
10 лет назад