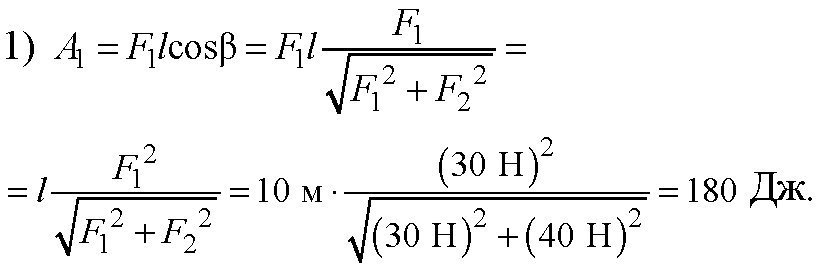
Под действием двух взаимно перпендикулярных сил 30 и 40 Н тело переместилось на 10 м. Найти раПод действием двух взаимно перпендикулярных сил 30 и 40 Н тело переместилось на 10 м.
ОБЪЕСНИТЕ ПАЖАЛУЙСТА ПОЧЕМУ СИЛА ДЕЛИТСЯ НА СУММУ СИЛ ПОД КОРНЕМ
Приложения:

Ответы
Ответ дал:
0
Если сложить две силы, то получится результирующая, которая равна корню квадратному из суммы квадратов (по теореме Пифагора квадрат гипотенузы равен сумме квадратов катетов). Отношение прилегающего катета к гипотенузе - косинус угла).
==============
Ответ дал:
0
спасибо большое как дела ?
Вас заинтересует
2 года назад
2 года назад
7 лет назад
9 лет назад
10 лет назад