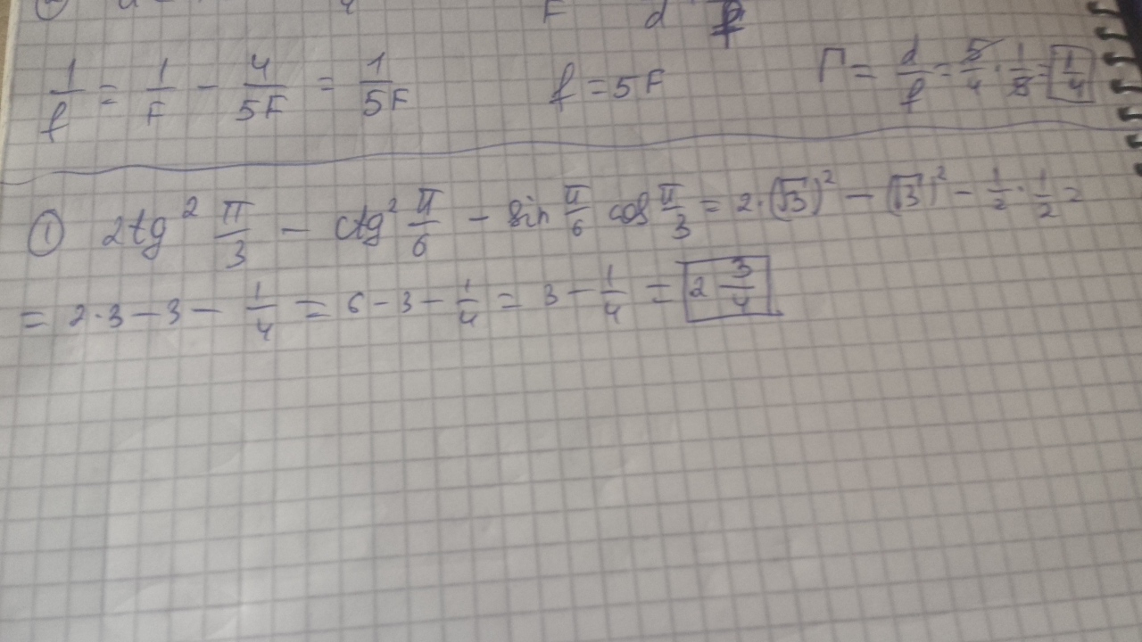
1) 2tg(квадрат)П/3 -ctg(квадрат) П/6- sinП/6cosП/3
2)
Пожалуйста, можно с подробным решением..большое спасибо!
Ответы
Ответ дал:
0
надеюсь на то что ты знаешь табличные значения ))
Приложения:

Ответ дал:
0
у меня такое не получается только спасибо или комментарий
Ответ дал:
0
ясненько(
Ответ дал:
0
я не жмот, мне не жалко)
Ответ дал:
0
да я и не сказал бы это :)
Ответ дал:
0
спасиибо :)
Вас заинтересует
2 года назад
2 года назад
7 лет назад
9 лет назад
10 лет назад