Ответы
Ответ дал:
0
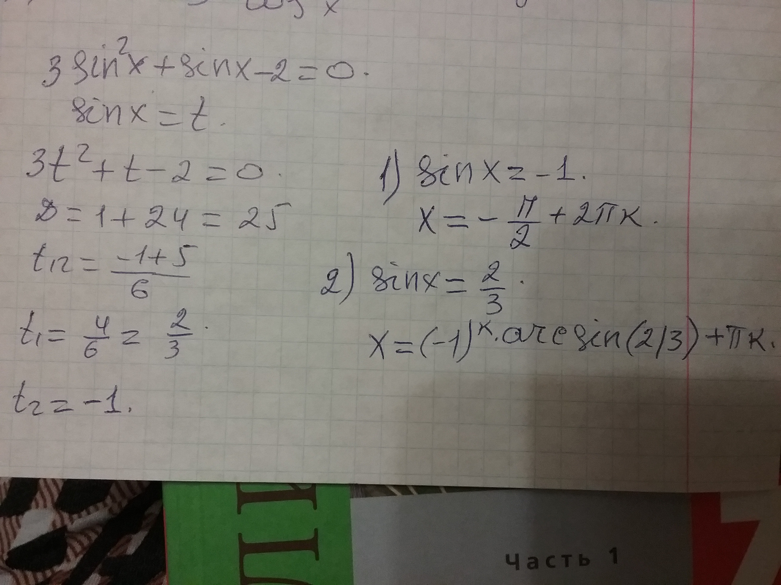
sinx = t
3t^2 + t - 2 = 0
t = (-1 +- √(1 + 24)) / 6 = (-1 +- 5) / 6
t = -3 не подходит, так как sinx >= -1
t = -1 t = 2/3
sinx = -1
sinx = 2/3
В совокупности:
1)x = π + 2πn, n ∈ Z
2)x = arcsin(2/3) + 2πm, m ∈ Z
3)x = π - arcsin(2/3) + 2πk, k ∈ Z
3t^2 + t - 2 = 0
t = (-1 +- √(1 + 24)) / 6 = (-1 +- 5) / 6
t = -3 не подходит, так как sinx >= -1
t = -1 t = 2/3
sinx = -1
sinx = 2/3
В совокупности:
1)x = π + 2πn, n ∈ Z
2)x = arcsin(2/3) + 2πm, m ∈ Z
3)x = π - arcsin(2/3) + 2πk, k ∈ Z
Ответ дал:
0
--------------------------------------
Приложения:

Вас заинтересует
2 года назад
2 года назад
7 лет назад
7 лет назад
9 лет назад
9 лет назад
10 лет назад