• Предмет: Математика
  • Автор: igorsyropjatov
  • Вопрос задан 10 лет назад

помогите пожалуйста решить

Приложения:

Ответы

Ответ дал: polinasmart
0
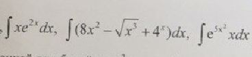
 intlimits {8 x^{2} - x^{ frac{3}{2} }+ 4^{x}  } , dx =  frac{8 x^{3} }{3} - frac{2}{5} x^{ frac{5}{2} } +  frac{ 4^{x} }{ln(4)} + const

 intlimits {x e^{2x} } , dx = 0.5x e^{2x} -  intlimits { e^{2x} } , dx = 0.5x e^{2x} - 0.5 e^{2x} +const

 intlimits { xe^{5 x^{2} } } , dx = 0.1 intlimits { e^{5 x^{2} } } , d(5 x^{2} ) = 0.1 e^{5 x^{2} } + const
Ответ дал: igorsyropjatov
0
А сможешь решение расписать быстренько,пожалуйста!!
Ответ дал: polinasmart
0
оно и так уже расписано
Ответ дал: igorsyropjatov
0
Ладно,спасибо ;)
Вас заинтересует