Ответы
Ответ дал:
0
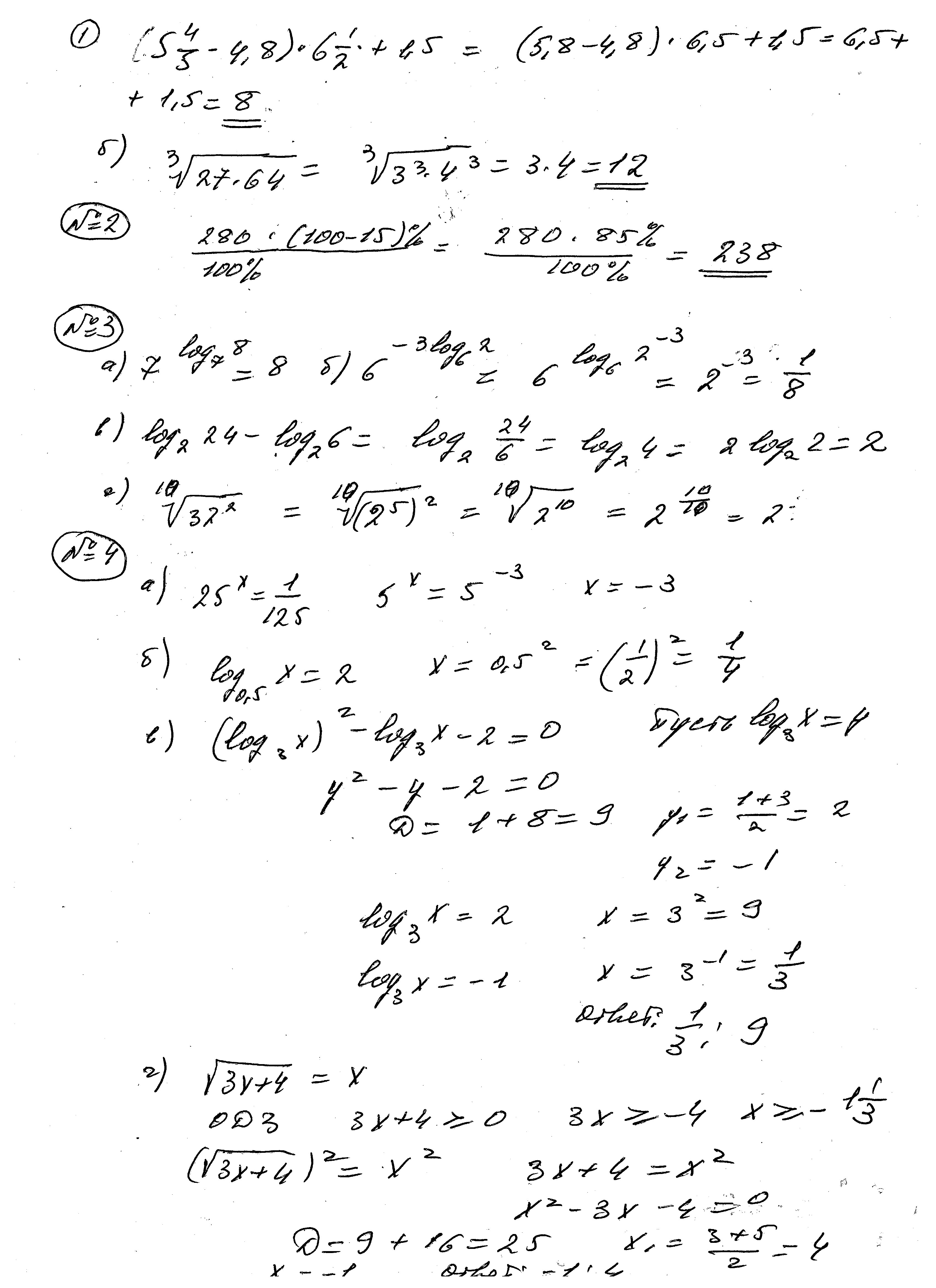
решение - в приложении
Приложения:


Вас заинтересует
2 года назад
2 года назад
7 лет назад
9 лет назад
9 лет назад