Ответы
Ответ дал:
0
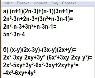
2n^2-n-3+3n^2-2n-1=5n^2-3n-4
Ответ дал:
0
Решение на фото......
Приложения:

Вас заинтересует
2 года назад
7 лет назад
7 лет назад
9 лет назад
10 лет назад