Помогите решить файл который я вылажил на картинке напишите пажалуса пример в паинт или где нибудь что бы понятно было)
Приложения:

Ответы
Ответ дал:
0
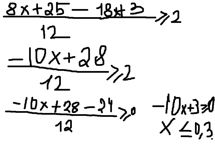
вот ответ будет х меньше либо равен 0,3
Приложения:

Вас заинтересует
8 лет назад
8 лет назад
10 лет назад
10 лет назад