построить блок-схему алгоритма и написать программу для решения следующей задачи. даны действительные числа x и y. Если x и y отрицательны, то уаждое значение заменить его модулем; если отрицательно только одно из них, то оба значения увеличить на 0.5, в противном случае извлечь из каждого квадратный корень.
Ответы
Ответ дал:
0
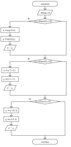
var
x, y:real;
begin
readln(x, y);
if (x>0) and (y>0) then
begin
x:=sqrt(x);
y:=sqrt(y);
writeln(x,' ', y);
end;
if (x<0) and (y<0) then
begin
x:=x*(-1);
y:=y*(-1);
writeln(x,' ', y);
end;
if (x<0) or (y<0) then
begin
x:=x+0.5;
y:=y+0.5;
writeln(x,' ', y);
end;
end.
Приложения:

Вас заинтересует
2 года назад
2 года назад
7 лет назад
7 лет назад
9 лет назад