Ответы
Ответ дал:
0
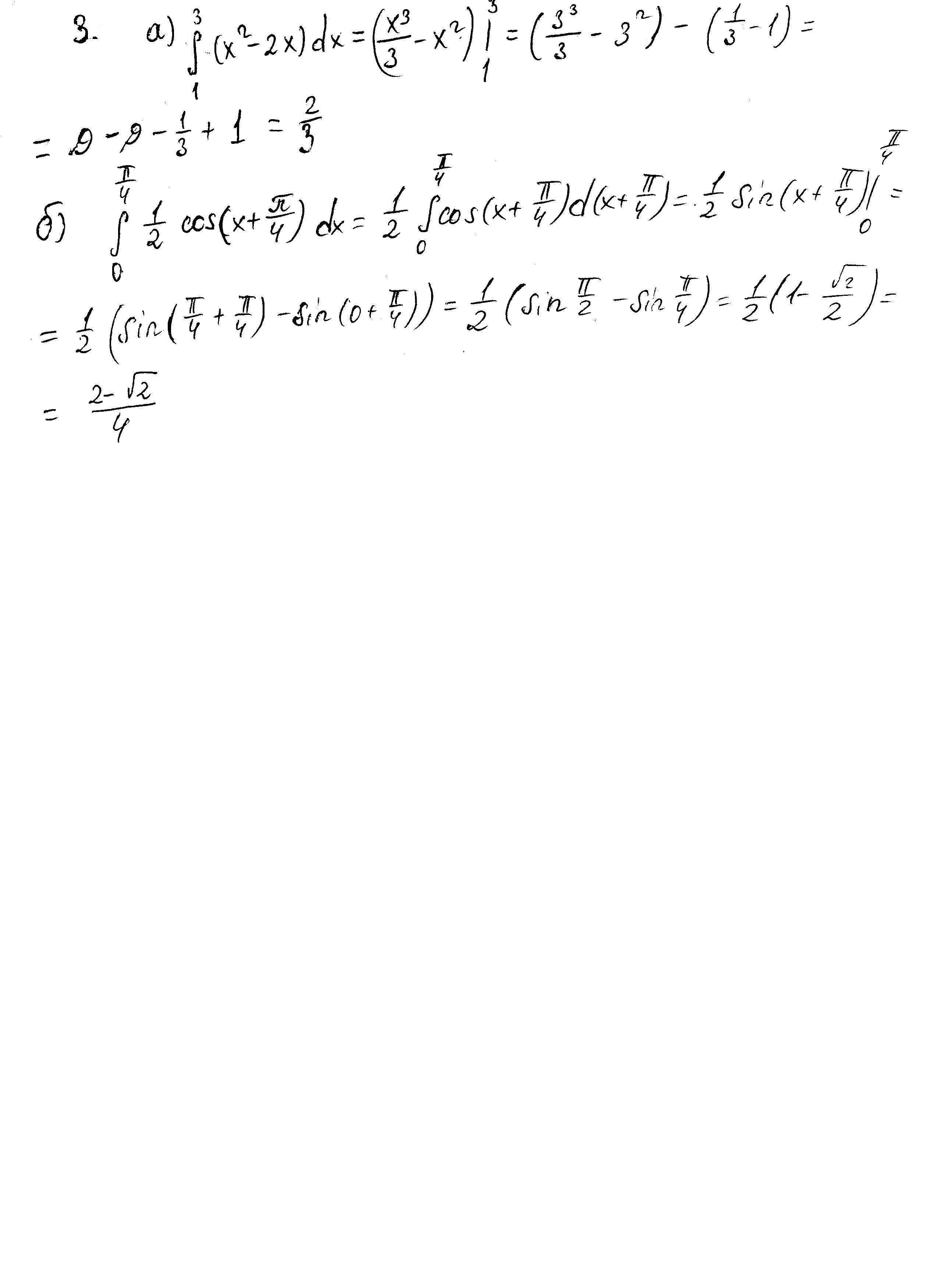
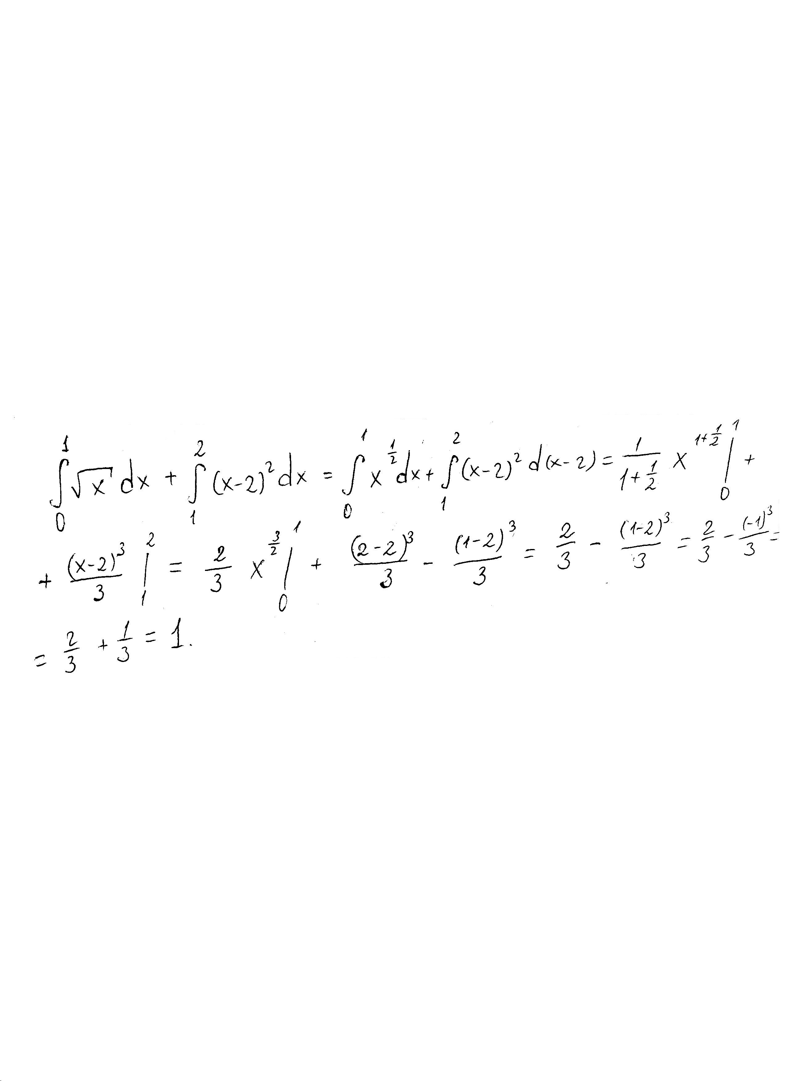
Решение 2) и 3) в приложении
1) а) - 3-й файл
1) а) - 3-й файл
Приложения:



Вас заинтересует
2 года назад
2 года назад
7 лет назад
10 лет назад
10 лет назад