Ответы
Ответ дал:
0
8.37

8.54



8.59


8.65
t=3x-1
dt=3dx

![=1/3 intlimits {1/[4(t^2/4 +1)]} , dx =1/12 intlimits {1/((t/2)^2+1)} , dt =1/3 intlimits {1/[4(t^2/4 +1)]} , dx =1/12 intlimits {1/((t/2)^2+1)} , dt](https://tex.z-dn.net/?f=%3D1%2F3+intlimits+%7B1%2F%5B4%28t%5E2%2F4+%2B1%29%5D%7D+%2C+dx+%3D1%2F12+intlimits+%7B1%2F%28%28t%2F2%29%5E2%2B1%29%7D+%2C+dt+)
8.54
8.59
8.65
t=3x-1
dt=3dx
Ответ дал:
0
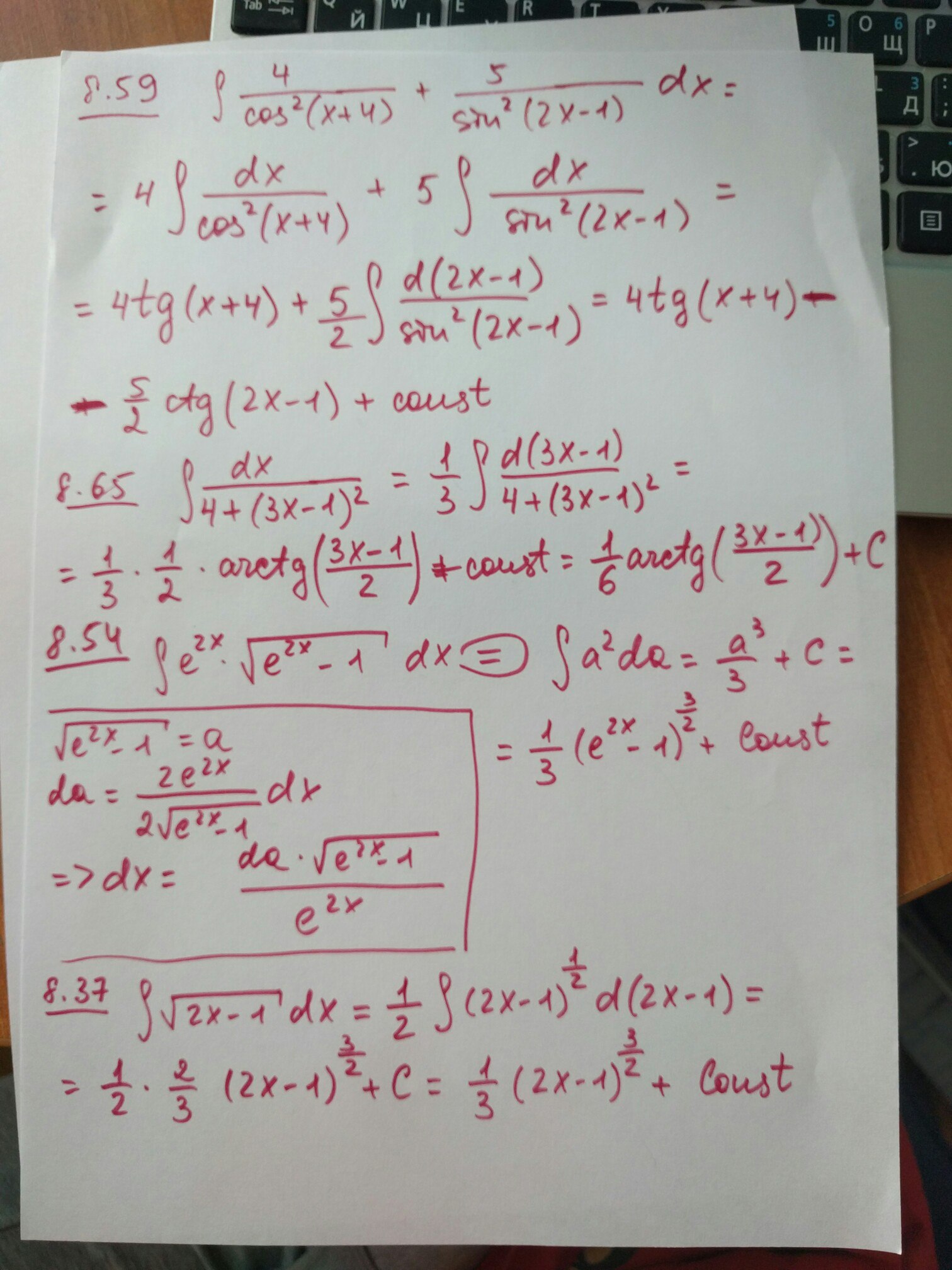
Решение на фотографии
Приложения:
Вас заинтересует
3 года назад
8 лет назад
8 лет назад
10 лет назад
10 лет назад