• Предмет: Алгебра
  • Автор: ksuana2002
  • Вопрос задан 10 лет назад

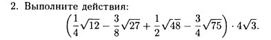
Помогите пожалуйста (лучше бы с решением :D)

Приложения:

Ответы

Ответ дал: belozerova1955
0
Разложил на множители подкоренные выражения (сделаем в скобках)
1·√4·3               3√3·9          1·√16·3             3·√25·3
_______    -     _____   +   _________   -    ________ = 
     4                     8                   2                         4

(1/2)·√3 - (9/8)·√3 + 2√3 - (15/4)·√3
Умножим на 4√3

6 - 13,5 + 24 - 45 =  - 28,5
Вас заинтересует