Ответы
Ответ дал:
0
Применены формулы дифференцирования, взаимозависимость функции и производной
Приложения:
Ответ дал:
0
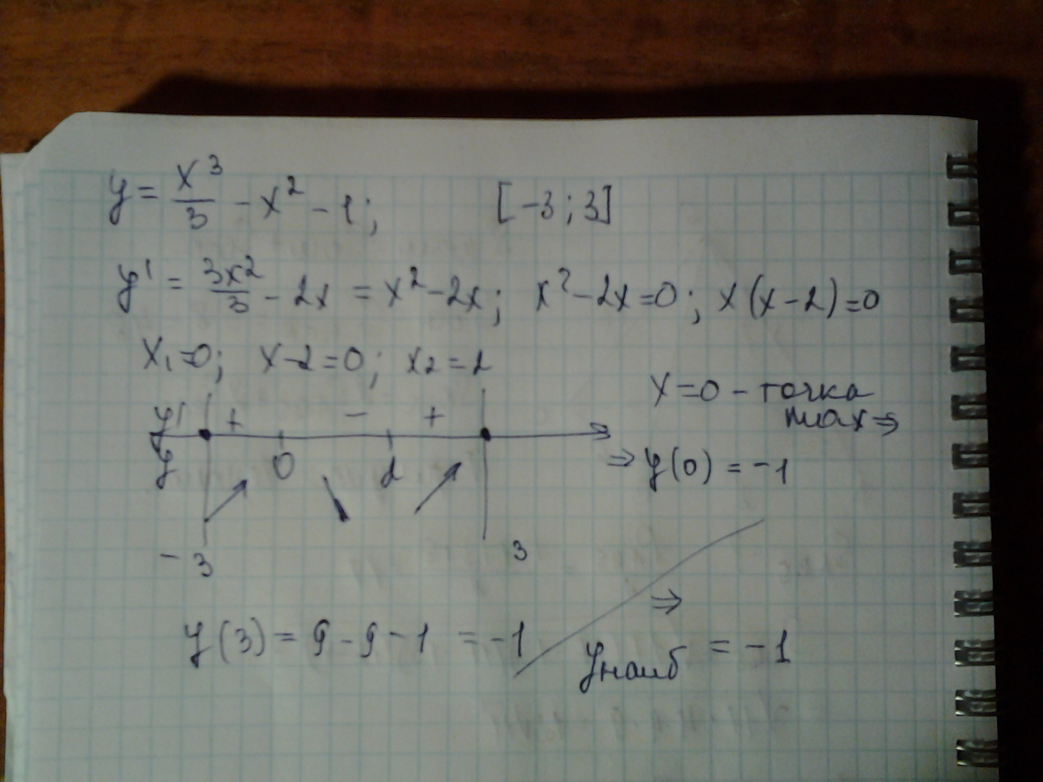
y' =x² -2x
x² -2x=0
x(x-2)=0
x=0 x=2
y(-3)=(-3)³/3 - (-3)² -1= -9 - 9 -1= -19
y(0) =0³/3 - 0² -1= -1 - наибольшее
y(2) =2³/3 - 2² -1= (8/3) - 4-1= 2 ²/₃ - 5 = -3 ²/₃
y(3)= 3³/3 - 3² -1= 9-9-1= -1 - наибольшее
Ответ: -1.
x² -2x=0
x(x-2)=0
x=0 x=2
y(-3)=(-3)³/3 - (-3)² -1= -9 - 9 -1= -19
y(0) =0³/3 - 0² -1= -1 - наибольшее
y(2) =2³/3 - 2² -1= (8/3) - 4-1= 2 ²/₃ - 5 = -3 ²/₃
y(3)= 3³/3 - 3² -1= 9-9-1= -1 - наибольшее
Ответ: -1.
Приложения:
Вас заинтересует
2 года назад
10 лет назад