• Предмет: Алгебра
  • Автор: novorosova
  • Вопрос задан 10 лет назад

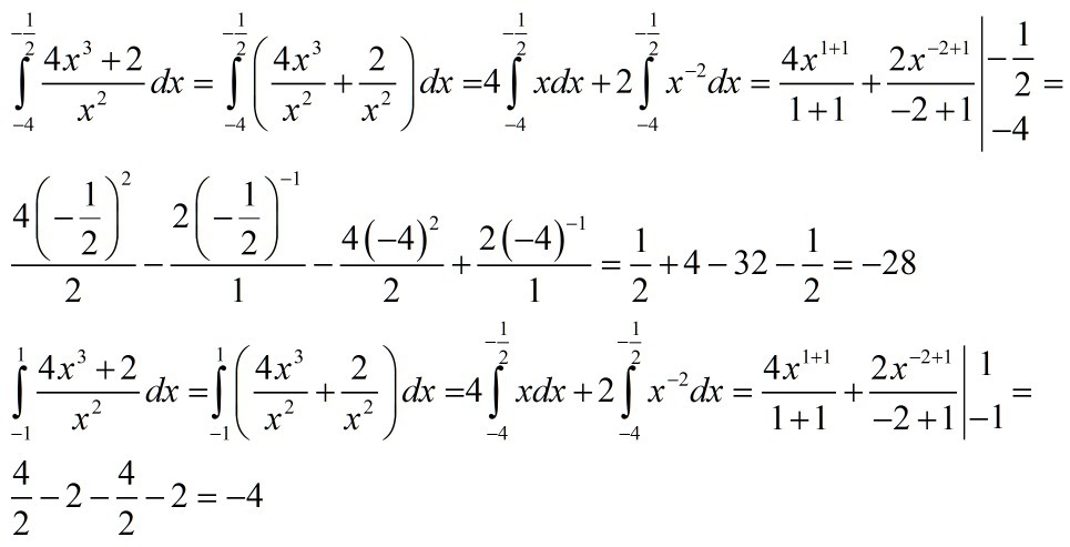
Вычислите определенные интегралы

Приложения:

Ответы

Ответ дал: Аноним
0
решение смотри во вложении
Приложения:
Ответ дал: novorosova
0
Спасибо)
Вас заинтересует