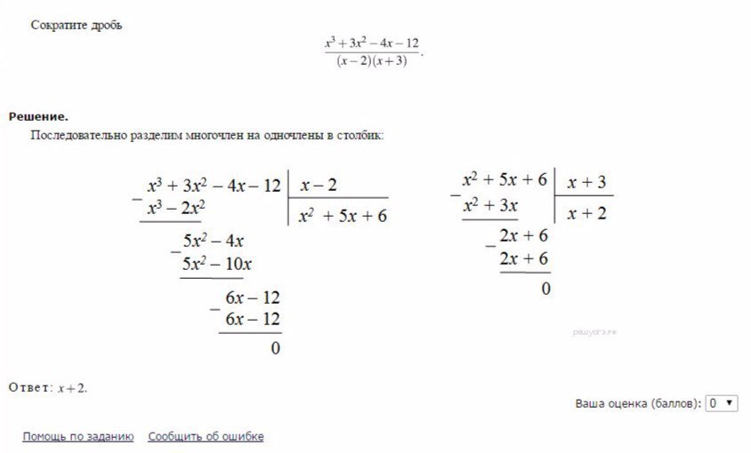
Задание и его решение с сайта решу огэ, С1. Обязательно ли именно делением в столбик делать такие задания? Ведь тут же можно сгруппировать и вынести общий множитель, потом сократить, ответ-то такой же...
Приложения:

Ответы
Ответ дал:
0
На этом сайте показан один из вариантов решение. Я бы тоже решала способом группировки
Ответ дал:
0
Спасибо за ответ!
Вас заинтересует
2 года назад
2 года назад
7 лет назад
7 лет назад
9 лет назад
10 лет назад