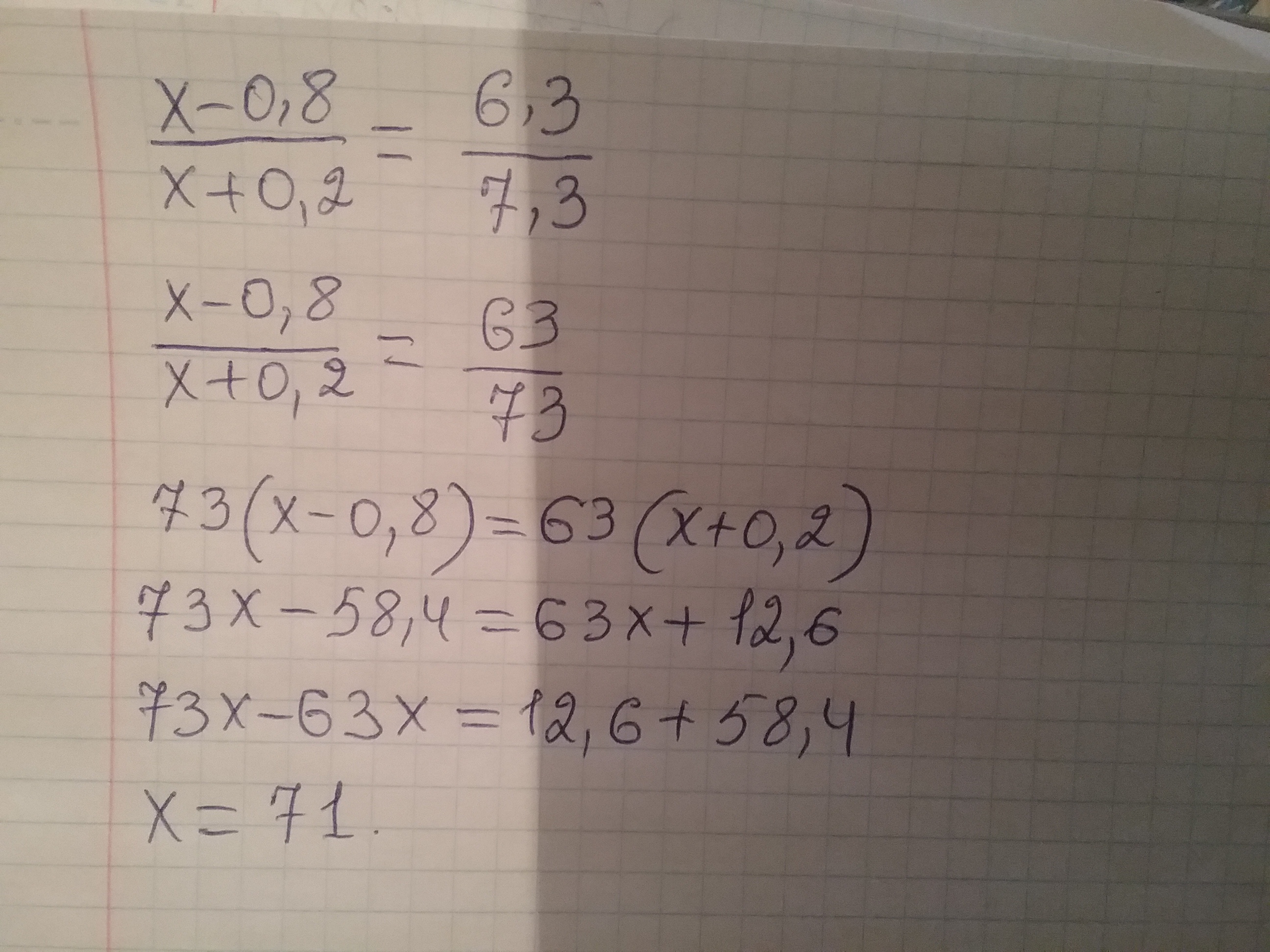
пропорция. числитель x - 0,8/ знаменатель x. + 0,2 = числитель 6,3/ знаменвтель 7,3 помогите плиз
Ответы
Ответ дал:
0
-------------------------------
Приложения:


Ответ дал:
0
а можешь еще один
Ответ дал:
0
плииз
Ответ дал:
0
Да
Ответ дал:
0
числитель 5 / знаменатель 2x + 3 = числитель 2,5 /знаменатель 4,5
Ответ дал:
0
умножение крест-накрест
6,3*(х+0,2)=7,3*(х-0,8)
6,3х+1,26=7,3х-5,84
6,3х-7,3х= -5,84-1,26
-х=-7,1
х=7,1
Ответ:7,1
6,3*(х+0,2)=7,3*(х-0,8)
6,3х+1,26=7,3х-5,84
6,3х-7,3х= -5,84-1,26
-х=-7,1
х=7,1
Ответ:7,1
Приложения:


Вас заинтересует
2 года назад
2 года назад
7 лет назад
9 лет назад
10 лет назад
10 лет назад