Ответы
Ответ дал:
0
это на первое задание
Приложения:
Ответ дал:
0
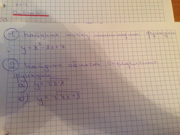
1. y=x²-2x+7
y'=2x-2
x=1
2.а)
подкоренное выражение не может быть отрицательным, поэтому
3-x≥0
-x≥-3
x≤3
[-∞;3]
б)
подкоренное выражение не может быть отрицательным



![[- frac{3}{7};+ {infty}] [- frac{3}{7};+ {infty}]](https://tex.z-dn.net/?f=%5B-+frac%7B3%7D%7B7%7D%3B%2B+%7Binfty%7D%5D)
Успехов в учёбе! Будут вопросы, пиши, постараюсь ответить!
y'=2x-2
x=1
2.а)
подкоренное выражение не может быть отрицательным, поэтому
3-x≥0
-x≥-3
x≤3
[-∞;3]
б)
подкоренное выражение не может быть отрицательным
Успехов в учёбе! Будут вопросы, пиши, постараюсь ответить!
Приложения:
Вас заинтересует
2 года назад
2 года назад
7 лет назад
7 лет назад
10 лет назад
10 лет назад
10 лет назад