• Предмет: Математика
  • Автор: Асылбек11111
  • Вопрос задан 10 лет назад

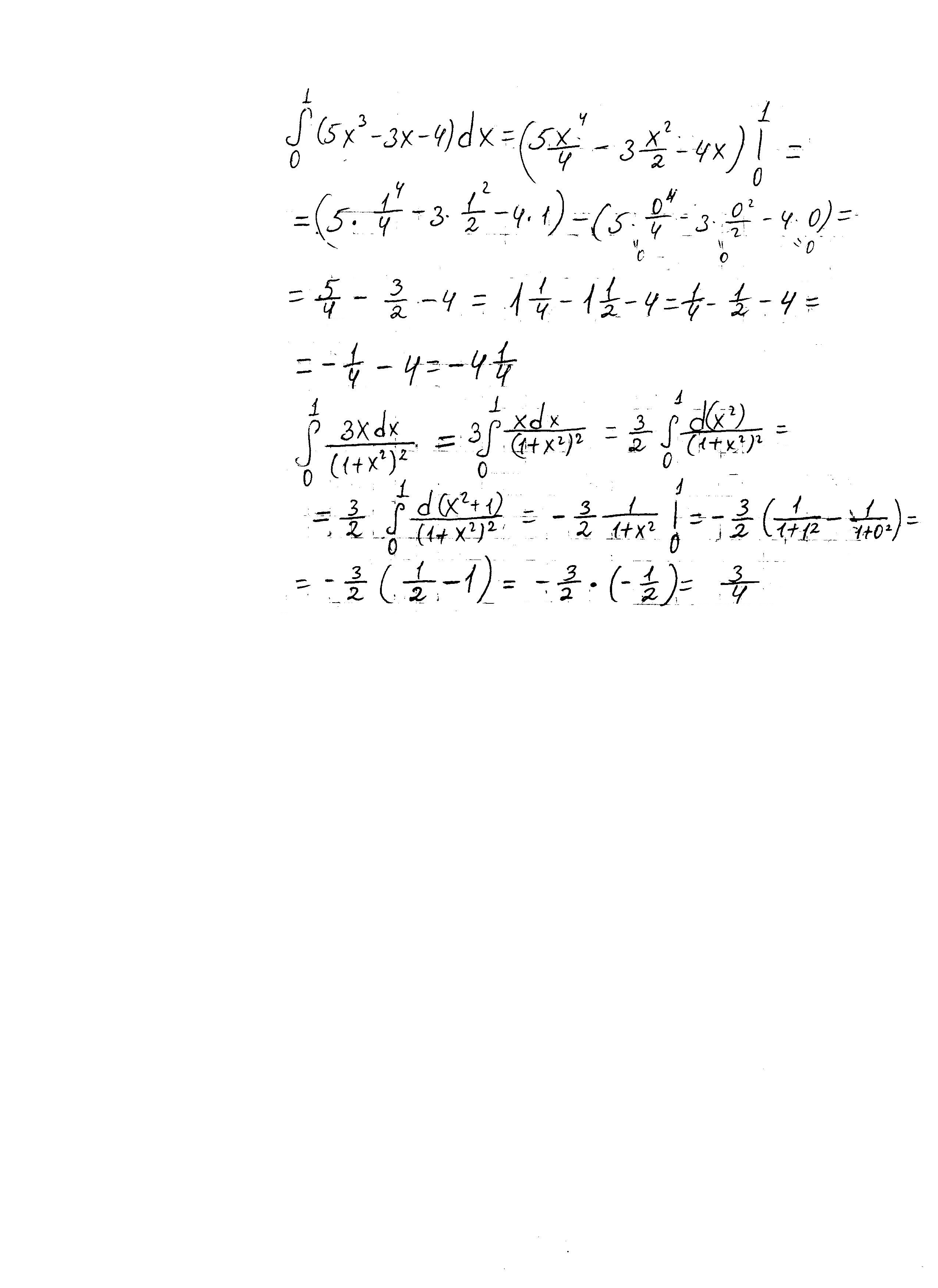
1 ответ. помогите интеграл

Приложения:

Ответы

Ответ дал: bearcab
0
Решение в приложении.
Приложения:
Вас заинтересует