Помогите пожалуйста решить
Найдите значение выражения:
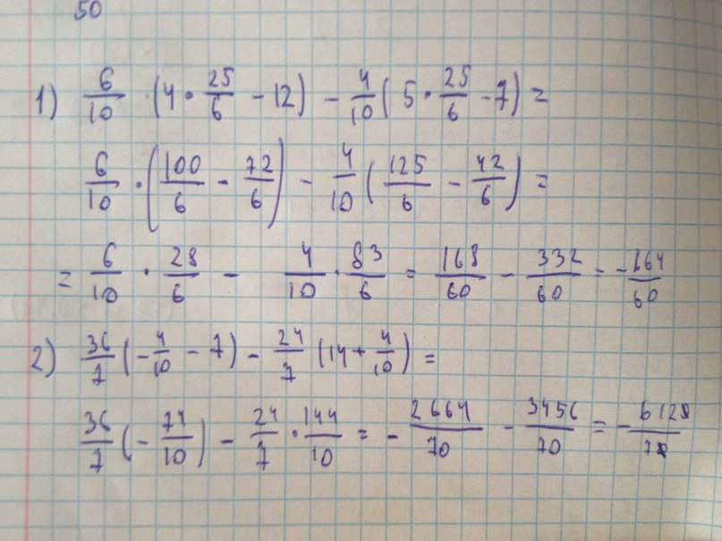
1) 0.6(4х-12)-0.4(5х-7) при х= 4 целых 1/6
2)5 целых 1/7(y-7)- 3целых 3/7(14- у) при у= -0.4
Ответы
Ответ дал:
0
Смотри решение на фотографии.
Приложения:

Ответ дал:
0
Первое выражение:


Второе выражение:


Второе выражение:
Приложения:

Вас заинтересует
2 года назад
2 года назад
7 лет назад
9 лет назад
9 лет назад
10 лет назад