Ответы
Ответ дал:
0
₋₁
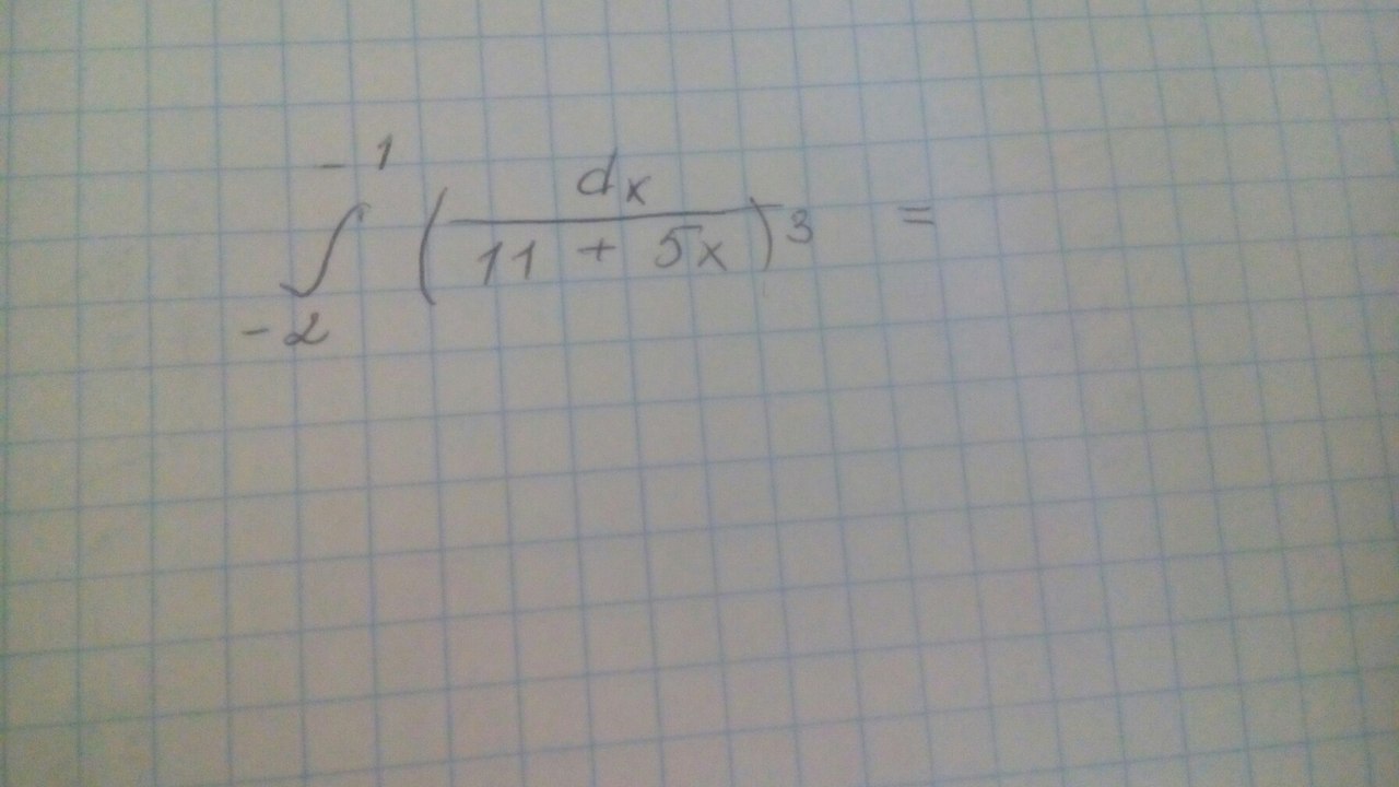
= ₋₂∫ (11 +5х)⁻³ dx = (11-5x)⁻² /-2 * 1/5 | в пределах от -2 до -1 =
=-1/10(11 - 5х)² | в пределах от -2 до -1 = -1/60 +1/10 = 5/60 = 1/12
= ₋₂∫ (11 +5х)⁻³ dx = (11-5x)⁻² /-2 * 1/5 | в пределах от -2 до -1 =
=-1/10(11 - 5х)² | в пределах от -2 до -1 = -1/60 +1/10 = 5/60 = 1/12
Вас заинтересует
2 года назад
7 лет назад
7 лет назад
10 лет назад
10 лет назад
10 лет назад