Ответы
Ответ дал:
0
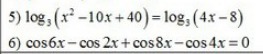
6 задание :
co6x-cos2x+cos8x-cos4x=0
выносим cos2x и получается следующее:
cos2x(3-1+4-2)=0
и из этого следует cos по основанию 2 числа 4 = 2
Приложения:

Вас заинтересует
2 года назад
7 лет назад
9 лет назад
10 лет назад