Ответы
Ответ дал:
0
1

2
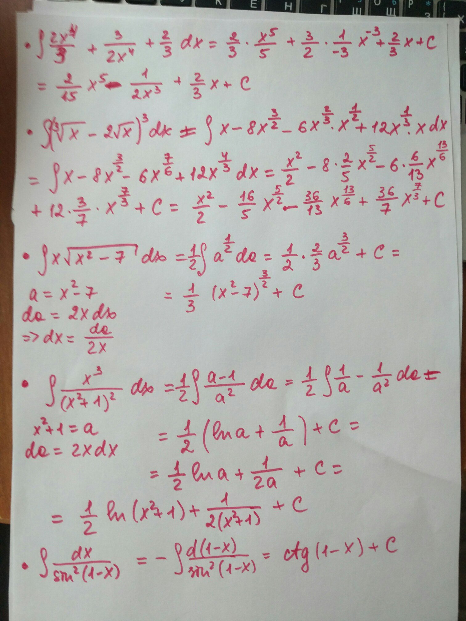
![intlimits {( sqrt[3]{x} -2 sqrt{x} )^3} , dx = intlimits ({x-6 x^{7/6} +12 x^{4/3}-8 x^{3/2} ) } , dx intlimits {( sqrt[3]{x} -2 sqrt{x} )^3} , dx = intlimits ({x-6 x^{7/6} +12 x^{4/3}-8 x^{3/2} ) } , dx](https://tex.z-dn.net/?f=+intlimits+%7B%28+sqrt%5B3%5D%7Bx%7D+-2+sqrt%7Bx%7D+%29%5E3%7D+%2C+dx+%3D+intlimits+%28%7Bx-6+x%5E%7B7%2F6%7D+%2B12+x%5E%7B4%2F3%7D-8+x%5E%7B3%2F2%7D+%29+%7D+%2C+dx+)

3
t=x²-7,dt=2xdx

4
u=x^2,du=2xdx



5

2
3
t=x²-7,dt=2xdx
4
u=x^2,du=2xdx
5
Ответ дал:
0
Решение на фотографии
Приложения:

Вас заинтересует
2 года назад
7 лет назад
9 лет назад
9 лет назад
10 лет назад