Помогите!
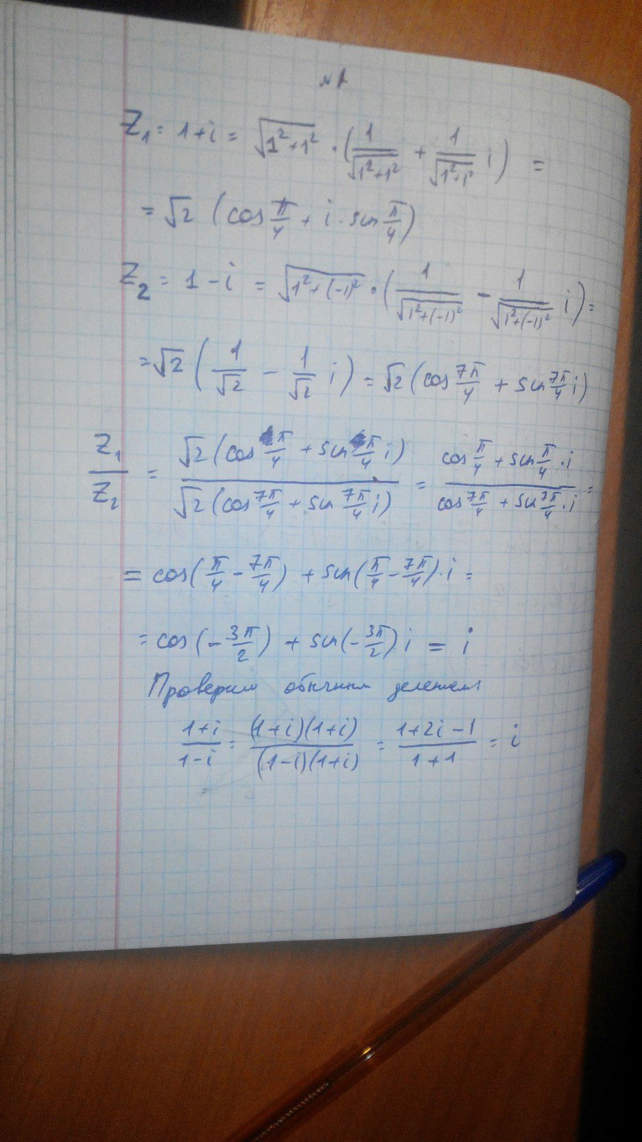
Z1=1+i, Z2= 1-i, Z3= -2+2√3i.
1)Выполните деление Z1/Z2 в тригонометрической форме.
2)Вычислите (Z3)^2 применяя формулу Муавра.
Ответы
Ответ дал:
0
z1/z2=(1+i)/(1-i)=1-i
(z3)^2=(-2+2sqrt3i)^2=4+12i
(z3)^2=(-2+2sqrt3i)^2=4+12i
Ответ дал:
0
На картинках то, что требуется. Именно деление в тригонометрической форме и с использованием формулы Муавра.
Приложения:


Вас заинтересует
2 года назад
2 года назад
7 лет назад
9 лет назад
9 лет назад
10 лет назад