• Предмет: Алгебра
  • Автор: Caramel11111
  • Вопрос задан 10 лет назад

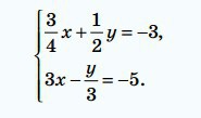
помогите пожалуйста срочно нужно

Приложения:

Ответы

Ответ дал: miron2077
0
решение в приложении
Приложения:
Ответ дал: oksik1970
0
подробное решение на фото
Приложения:
Вас заинтересует