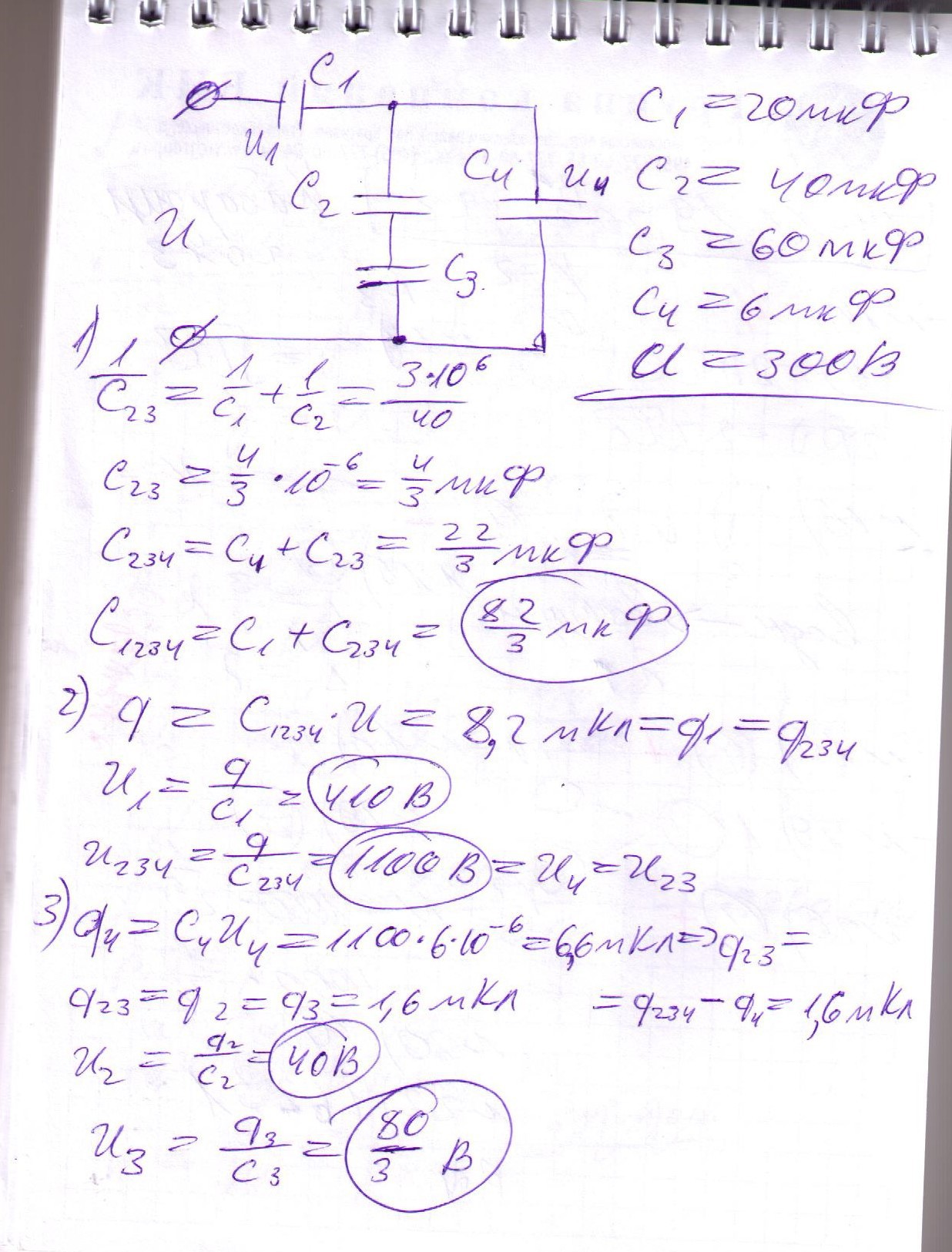
Определить эквивалентную емкость цепи и напряжение на каждом конденсаторе.
Если С1= 20 мкФ, С2=40 мкФ, С3 =60 мкФ, С4 = 6 мкФ, U=300 В.
Приложения:


Ответы
Ответ дал:
0
Вычисления опустил
основная формула: q=CU
и для паралл. соед., и последовательного
основная формула: q=CU
и для паралл. соед., и последовательного
Приложения:

Вас заинтересует
2 года назад
2 года назад
7 лет назад
7 лет назад
9 лет назад
9 лет назад
10 лет назад