• Предмет: Алгебра
  • Автор: tsibirev2010
  • Вопрос задан 10 лет назад

Помогите пожалуйста, не могу решить, срочно!
Решите уравнение:
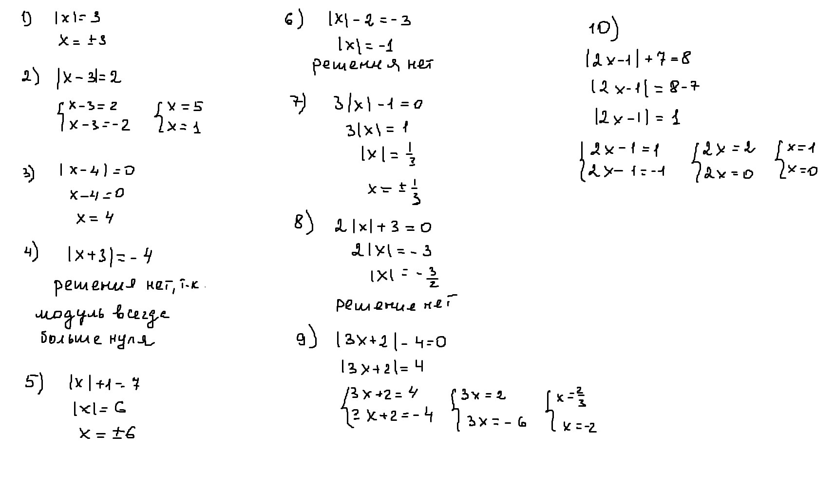
1) | x | = 3
2) | x-3 | = 2
3) | x-4 | = 0
4) | x+3 | = -4
5) | x | + 1 = 7
6) | x | - 2 = -3
7) 3*| x | - 1 = 0
8) 2 | x | + 3 = 0
9) | 3x + 2 | - 4 = 0
10) | 2x - 1 | +7 = 8

Ответы

Ответ дал: esmilya
0
Решение см в прикрепленном файле
Приложения:
Ответ дал: samodina
0

1)lxl=3

x=3 или x=-3

Ответ: -3; 3

2) lx-3l=2

x-3=2     или х-3=-2

х=2+3            х=-2+3

х=5              х=1

Ответ: 5; 1

3) lx-4l=0

x-4=0

x=4

Ответ: 4

4) lx+3l=-4

корней нет, т.к. значение модуля всегда больше или равно 0.

5) lxl+1=7

lxl=7-1

lxl=6

x=6 или х=-6

Ответ: 6; -6

6) lxl-2=-3

lxl=-3+2

lxl=-1

корней нет

7) 3*lxl -1 = 0

3*lxl=1

lxl=1/3

x=1/3 или х=-1/3

Ответ: 1/3; -1/3

8) 2lxl+3=0

2lxl=-3

lxl=-3/2

корней нет

9) l3x+2l-4=0

l3x+2l=4

3x+2=4       или   3х+2=-4

3х=4-2                 3х=-4-2

3х=2                     3х=-6

х=2/3                     х=-2

Ответ: 2/3; -2

10) l2x-1l+7=8

l2x-1l=8-7

l2x-1l=1

2x-1=1        или 2х-1=-1

2х=1+1               2х=-1+1

2х=2                   2х=0

х=1                     х=0

Ответ: 1; 0


Приложения:
Вас заинтересует