Ответы
Ответ дал:
0
Решениеееееееееееееееееееееееееееееееееее
Приложения:

Ответ дал:
0
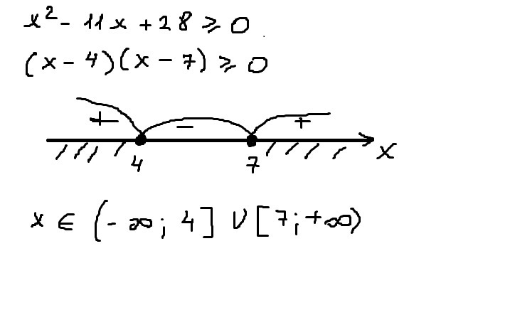
откуда 4 и 7?
Ответ дал:
0
Каждую скобку приравняй к нулю и получается, что х-4=0 х=4 и (х-7)=0 х=7
Ответ дал:
0
Это метод интервалов....
Вас заинтересует
2 года назад
7 лет назад
9 лет назад
10 лет назад