• Предмет: Математика
  • Автор: marinakrot198
  • Вопрос задан 10 лет назад

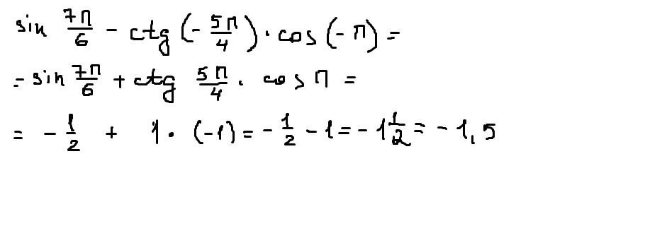
sin7п/6-ctg(-5п/4)cos(-п)

Ответы

Ответ дал: esmilya
0
Решениеееееееееееееееееее
Приложения:
Ответ дал: marinakrot198
0
спасибо огромное
Вас заинтересует