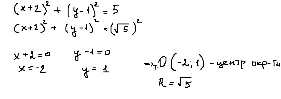
Помогите пожалуйста с детальным решением : Определить координаты центра и радиус окружности: (х+2)^2+(у-1)^2=5 .Заранее очень благодарна за помощь.
Ответы
Ответ дал:
0
Решениееееееееееееееее
Приложения:

Ответ дал:
0
Спасибо огромнейшее!!!
Вас заинтересует
2 года назад
7 лет назад
9 лет назад
10 лет назад