• Предмет: Алгебра
  • Автор: pasha1207
  • Вопрос задан 10 лет назад

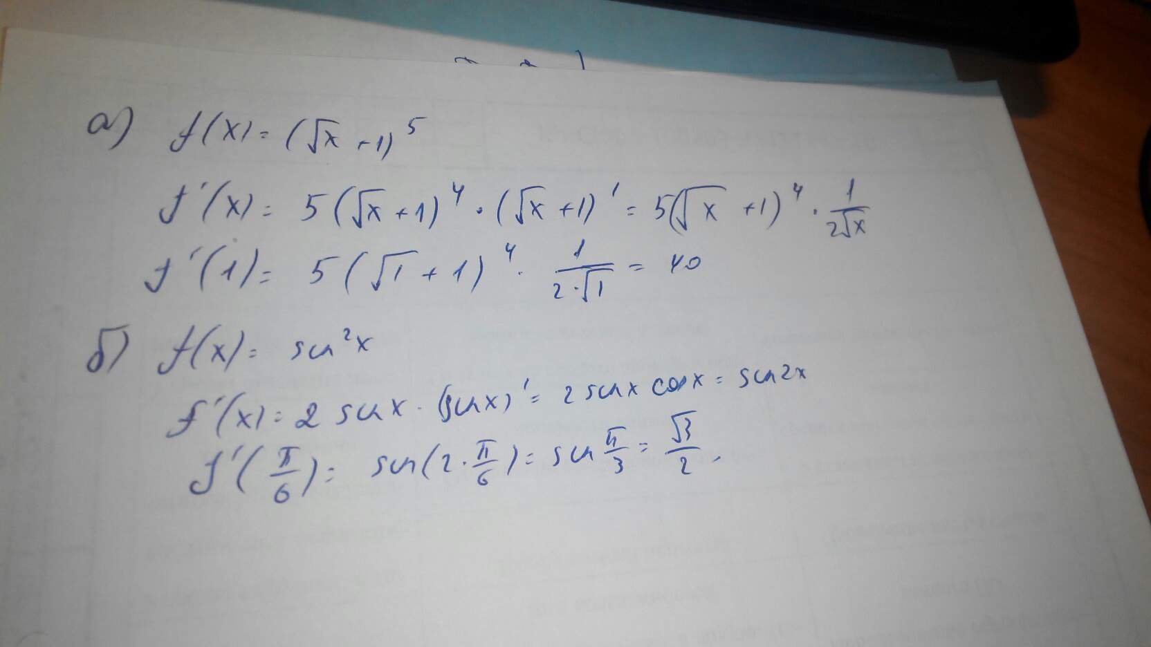
Вычислить значение производной функции в точке х₀:
a)f(x)= (   sqrt{x}+1 ^{5} ) ; х₀=1
б)f(x)= sin^{2}x ; х₀= frac{ pi }{6}

Ответы

Ответ дал: iknowthatyoufeelbro
0
Решение на картинке.
Приложения:
Ответ дал: русская25
0
Решение на фото. Удачи.
Приложения:
Вас заинтересует