• Предмет: Геометрия
  • Автор: kamron971
  • Вопрос задан 9 лет назад

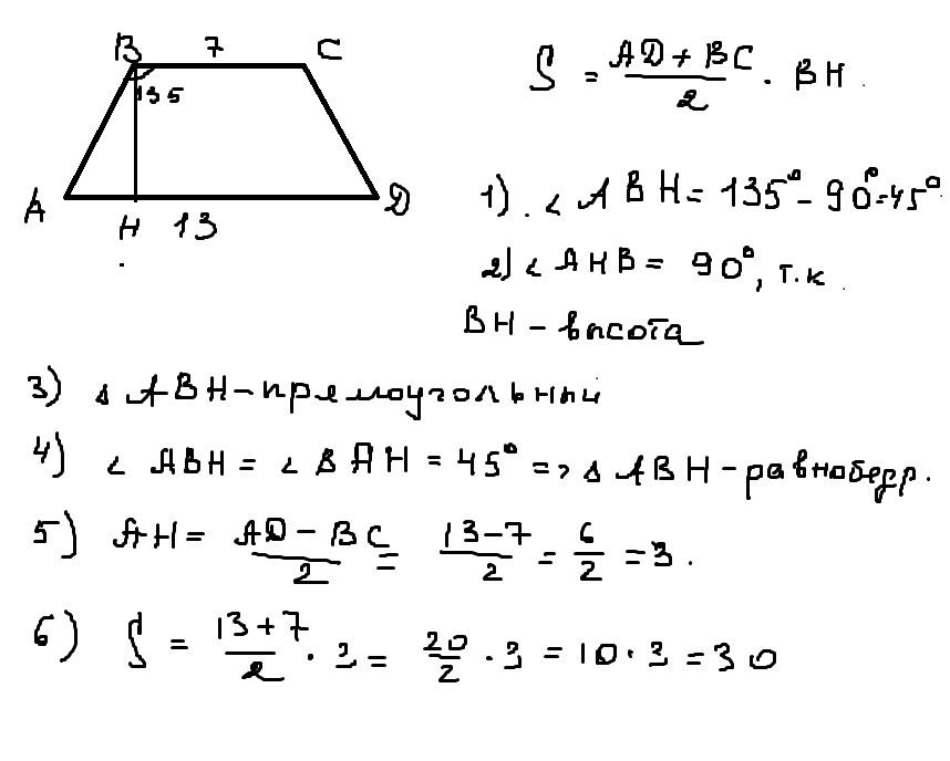
Вычислите пожалуйста площадь равнобедренной трапеции, если ее основания 7 и 13 ,а тупой угол трапеции равен 135°

Ответы

Ответ дал: esmilya
0
Решениееееееееееееееееееееееееееееееееее
Приложения:
Вас заинтересует