• Предмет: Математика
  • Автор: chiaa
  • Вопрос задан 9 лет назад

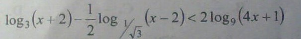
помогите пожалуйста

Приложения:

Ответы

Ответ дал: yuliya000yuliya
0
В решении используй свойство логарифма, вынести степень основания перед логарифм.
Приложения:
Вас заинтересует