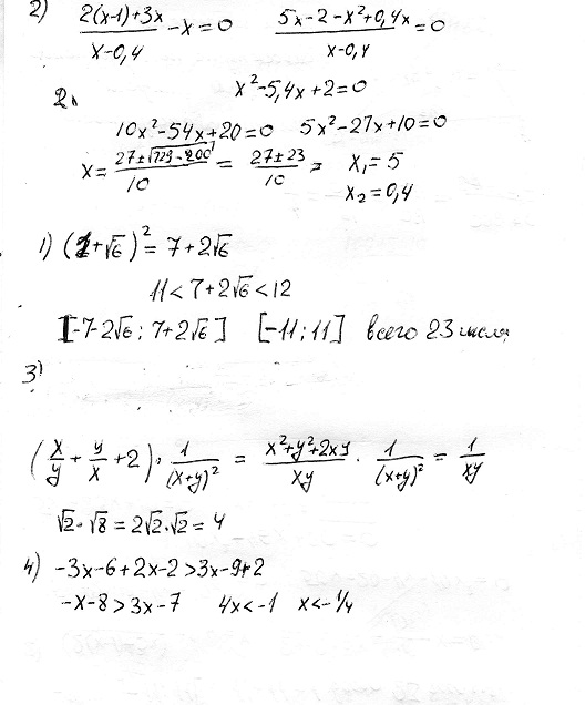
!)сколько целых чисел расположено между значениями выражений -(1+корень из 6)^2 и (1+корень из 6)^2
2)решите уравнение (2(x-1)+3x)/x-0.4=x
3)найдите значение выражения (x/y+y/x+2)*1/(x+y)^2 при x=корень из 2 y= корень из 8
4)решите неравенство -3(x+2)+2(x-1)>3(x-3)+2
Ответы
Ответ дал:
0
Реешение:
Смотри вложение .........
Приложения:

Вас заинтересует
2 года назад
2 года назад
8 лет назад
10 лет назад
10 лет назад
10 лет назад