• Предмет: Алгебра
  • Автор: elenaskachkova1
  • Вопрос задан 10 лет назад

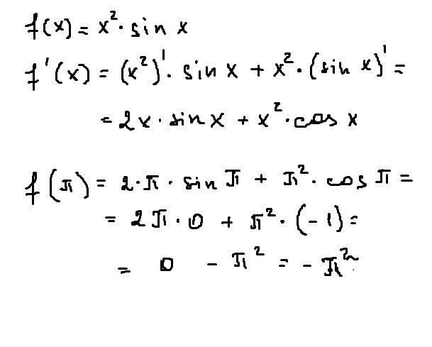
найдти f pi если f pi =x²*sinx

Ответы

Ответ дал: esmilya
0
если с производной, то см. решение
Приложения:
Вас заинтересует