• Предмет: Математика
  • Автор: Kroshj
  • Вопрос задан 10 лет назад

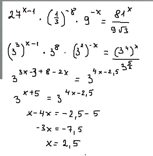
Помогите,решить показвтельное уравнение

Приложения:

Ответы

Ответ дал: esmilya
0
Решение.............................
Приложения:
Вас заинтересует