Ответы
Ответ дал:
0
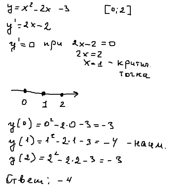
Решениееееееееееееееееееееееееееееееееееееееее
Приложения:

Ответ дал:
0
Спасибо) *
Ответ дал:
0
))))))))))))))
Вас заинтересует
2 года назад
2 года назад
7 лет назад
9 лет назад
10 лет назад