Ответы
Ответ дал:
0
у=2*х+3+0
потом 2*х+3=0,решаешь и по корням которые получились рисуешь
потом 2*х+3=0,решаешь и по корням которые получились рисуешь
Ответ дал:
0
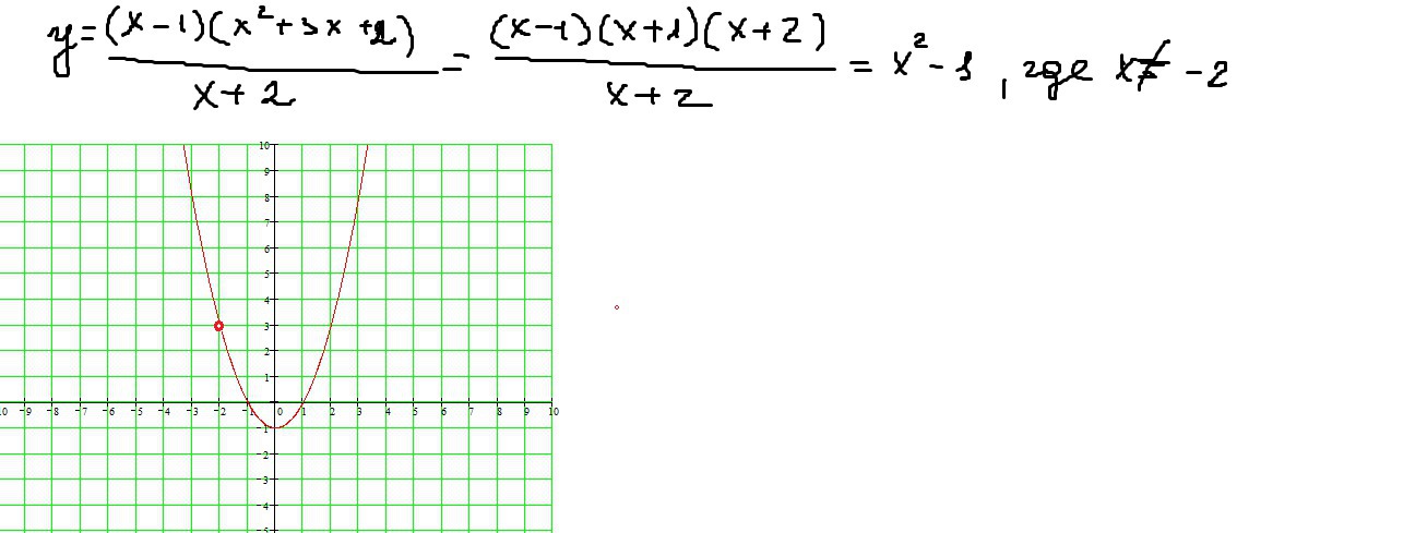
Решениеееееееееееееееееееееееееееееее
Приложения:
Вас заинтересует
3 года назад
3 года назад
8 лет назад
8 лет назад
10 лет назад
10 лет назад
10 лет назад