Ответы
Ответ дал:
0
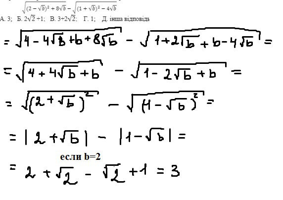
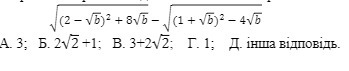
Решениеееееееееееееееееее
Приложения:

Ответ дал:
0
Спасибо большое.)
Ответ дал:
0
)))))))))))))
Вас заинтересует
2 года назад
7 лет назад
7 лет назад
9 лет назад
10 лет назад
10 лет назад