• Предмет: Математика
  • Автор: fokalight
  • Вопрос задан 9 лет назад

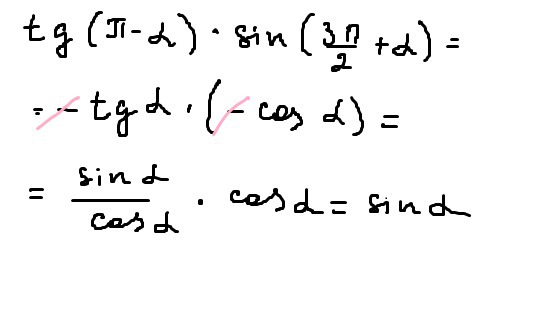
Упростите выражение tg(p-a)*sin(3p/2+a)

Ответы

Ответ дал: esmilya
0
Решениееееееееееееееееееееее
Приложения:
Ответ дал: fokalight
0
Благодарю.
Ответ дал: natali3221
0
tg(π-α)·sin(3π2+α)=-tgα·(-cosα)=sinα
Приложения:
Вас заинтересует