• Предмет: Алгебра
  • Автор: Vasilisa1111111
  • Вопрос задан 10 лет назад

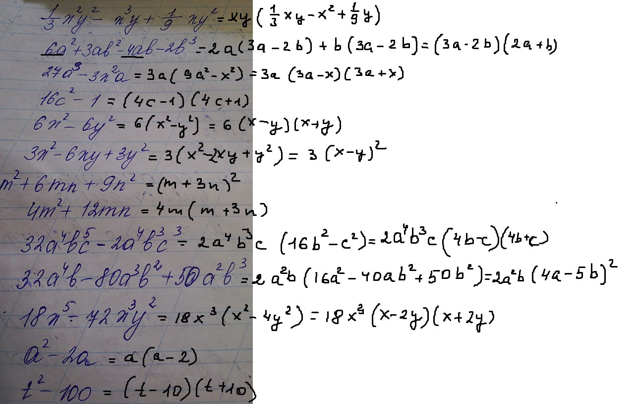
Разложите на множители заранее спасибо тебе огромное я я просто незнаю как это сделать.

Приложения:

Ответы

Ответ дал: esmilya
0
Решениеееееееееееееееееееее
Приложения:
Ответ дал: Vasilisa1111111
0
спасибо
Ответ дал: Vasilisa1111111
0
ты меня выручила
Ответ дал: Vasilisa1111111
0
ты просто умница спасибо тебе
Ответ дал: esmilya
0
)))))))))))))))
Ответ дал: Magnitogorskru
0
Да, молодец!!!
Вас заинтересует