Ответы
Ответ дал:
0
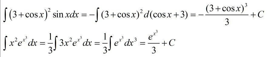
вообще-то это решается методом замены переменной, но мне больше нравится использовать такие свойства дифференциала, как
1)d(cosx)=-sinxdx
2)dx=d(x+a) а-любое число
3)d(x³)=3x²dx
1)d(cosx)=-sinxdx
2)dx=d(x+a) а-любое число
3)d(x³)=3x²dx
Приложения:

Вас заинтересует
2 года назад
7 лет назад
7 лет назад
10 лет назад