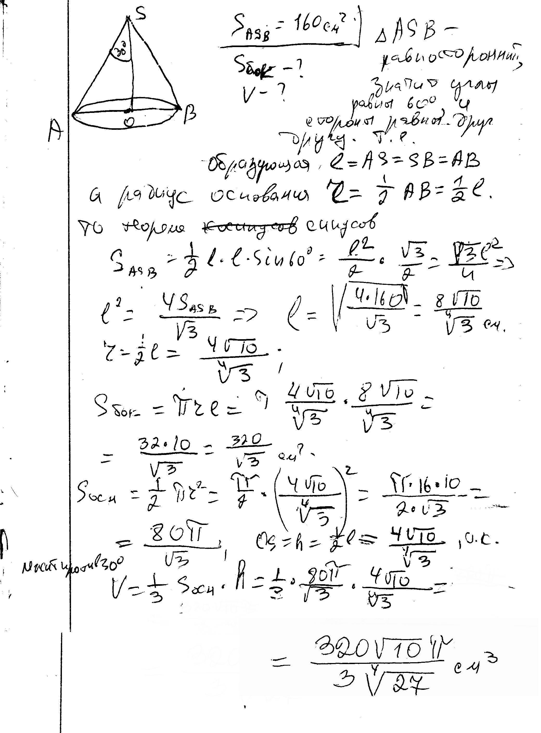
В конусе осевого сечения которого равносторонний треугольник площадь осевого сечения 160см^2.найти площадь ее боковой поверхности и объём
Ответы
Ответ дал:
0
решение в скане..............
Приложения:

Вас заинтересует
2 года назад
2 года назад
7 лет назад
9 лет назад
9 лет назад
10 лет назад