Ответы
Ответ дал:
0
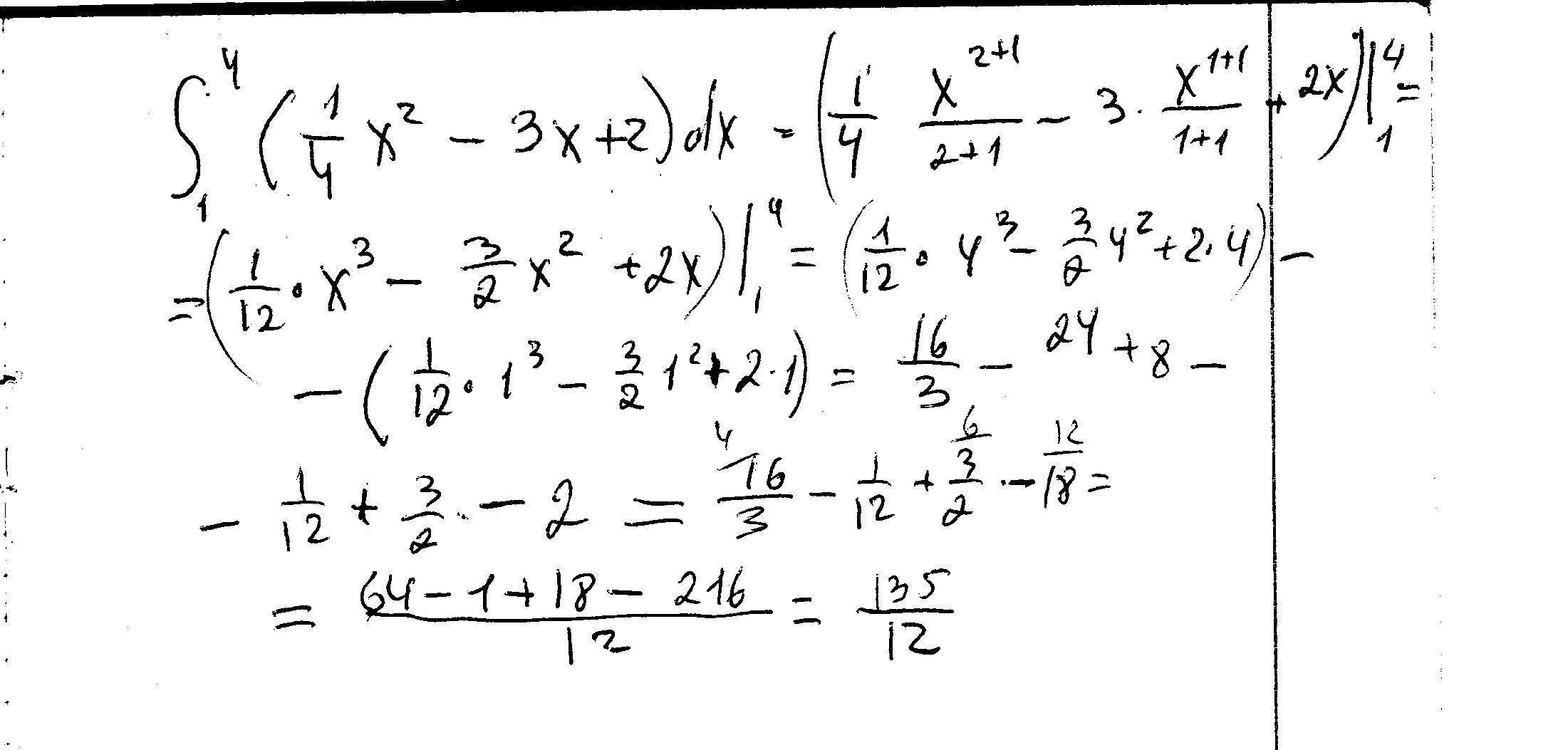
решение в скане...............проверить стоит.
Приложения:

Вас заинтересует
2 года назад
2 года назад
10 лет назад