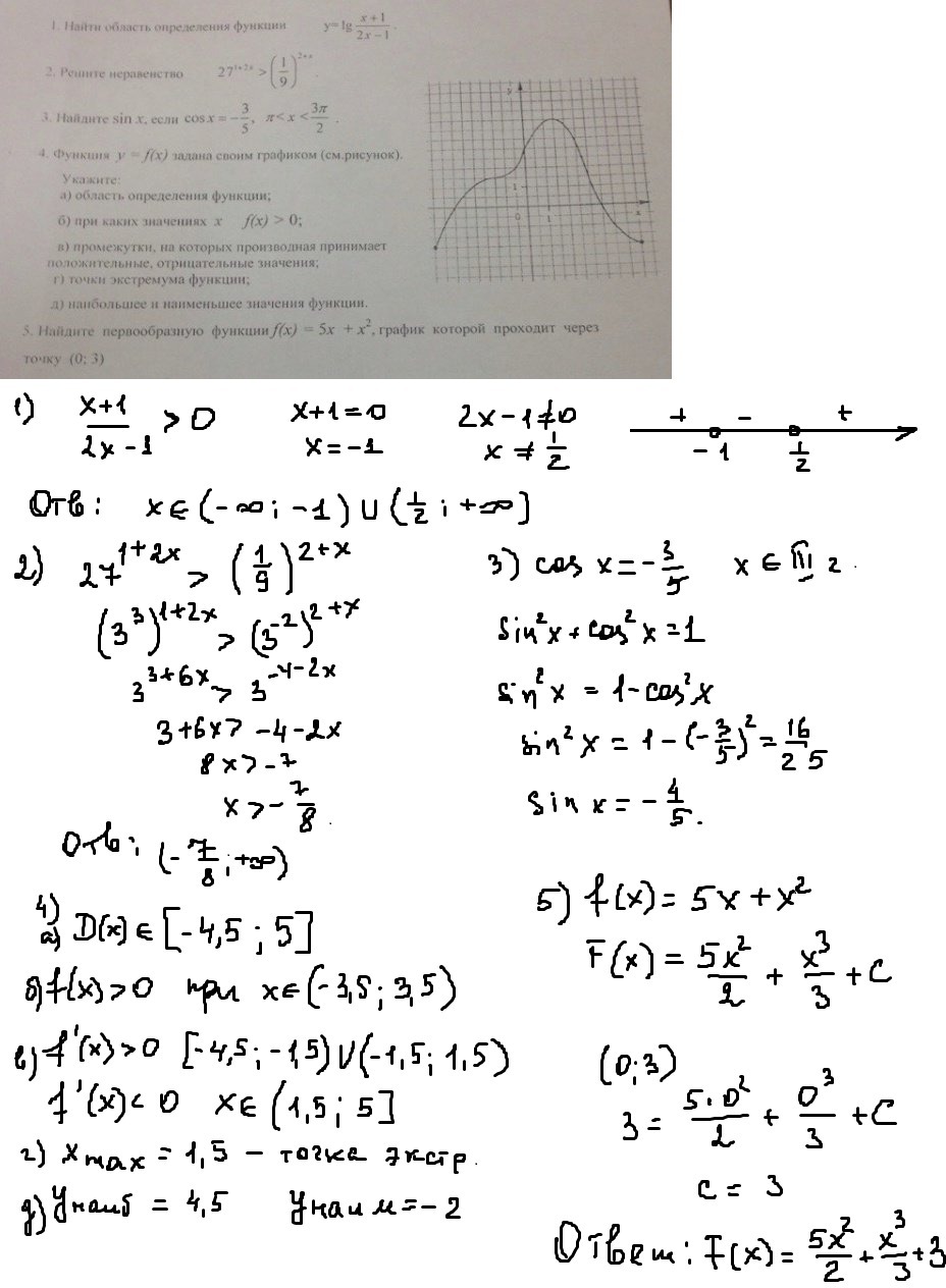
Решить задачи с фотографии.
Очень жду решения.
Много баллов за правильное подробное решение!
Приложения:

Ответы
Ответ дал:
0
Решениеееееееееееееееееееееее
Приложения:

Ответ дал:
0
Спасибо
Ответ дал:
0
Посмотри ЛС
Вас заинтересует
2 года назад
7 лет назад
7 лет назад
9 лет назад
9 лет назад
10 лет назад