Решить задачи с фотографии.
Очень жду решения.
Много баллов за правильное подробное решение!
Приложения:

Ответы
Ответ дал:
0
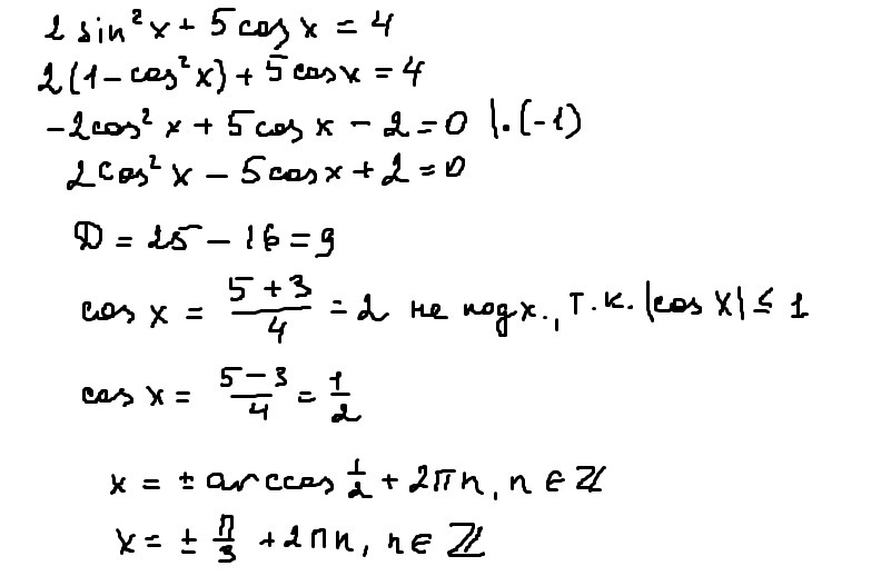
Решениеееееееееееееееее
Приложения:


Ответ дал:
0
еще 10 задачку пожалста
Ответ дал:
0
см 2 файл
Ответ дал:
0
Да , все вижу , спасибо
Ответ дал:
0
)))))))))
Вас заинтересует
2 года назад
7 лет назад
9 лет назад
10 лет назад