• Предмет: Алгебра
  • Автор: verasultanova1996
  • Вопрос задан 10 лет назад

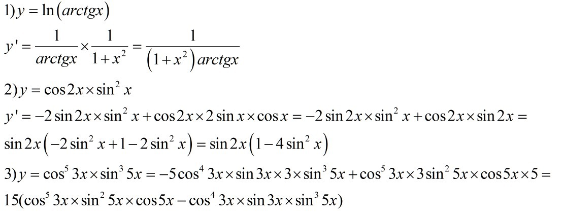
помогите найти производные функции
1. y=ln(arctgx)
2.y=cos2x*sin^2x
3.y=cos^5 3x*sin^3 5x

Ответы

Ответ дал: Аноним
0
решение смотри во вложении
Приложения:
Ответ дал: verasultanova1996
0
огромное спасибо*)
Вас заинтересует