• Предмет: Алгебра
  • Автор: supersasha99
  • Вопрос задан 10 лет назад

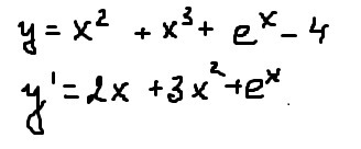
Найдите производную функции y=x^2+x^3+e^x-4

Ответы

Ответ дал: esmilya
0
Решениеееееееееееееееееее
Приложения:
Ответ дал: nik449
0
y=2x+3x^2+e^x e^x-4 eto e^x
Приложения:
Вас заинтересует