Боковое ребро правильной четырехугольник пирамиды равно b. Двугранный угол между двумя смежными боковыми гранями равен ф. Найти объем пирамиды
Ответы
Ответ дал:
0
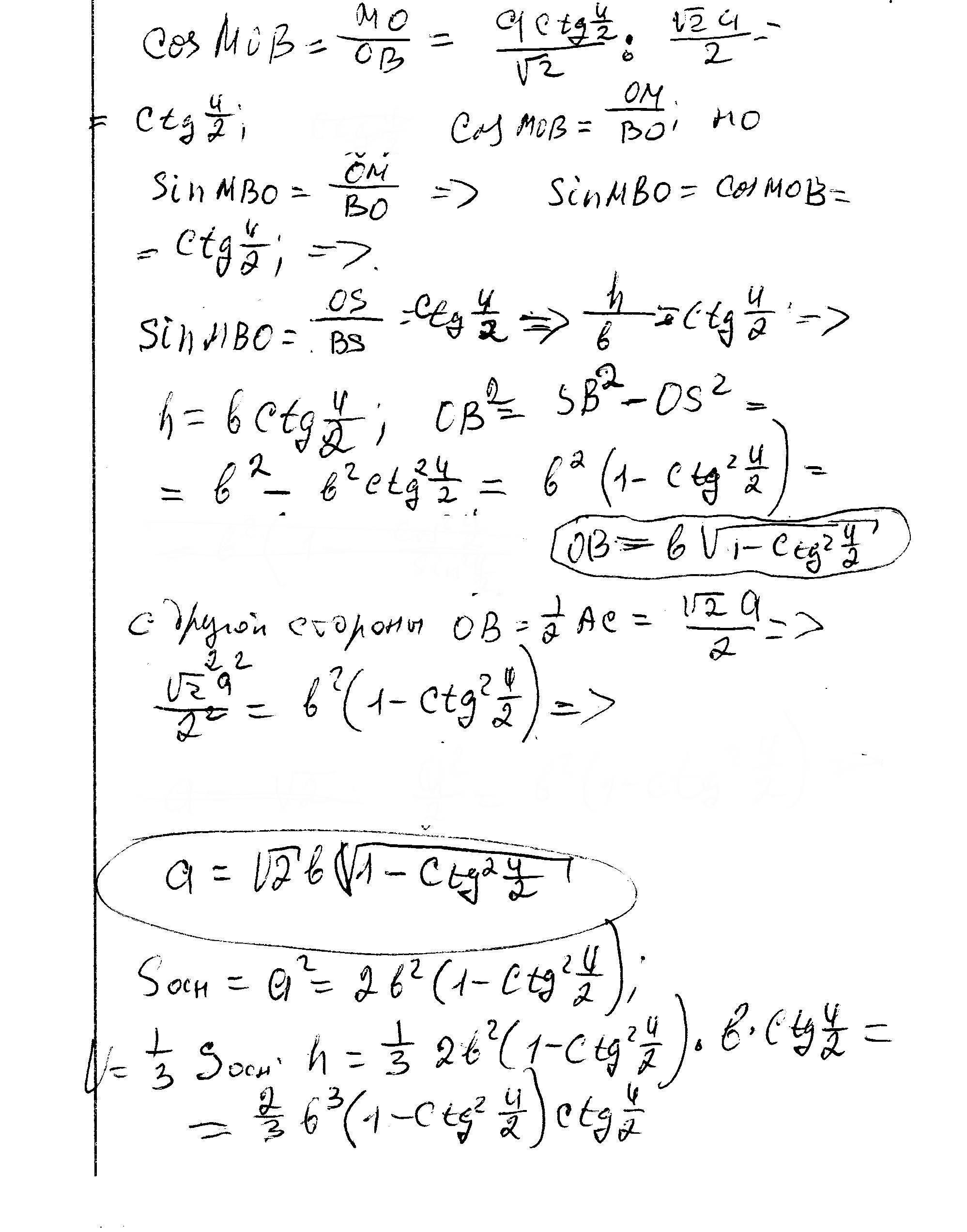
Очень надеюсь, что не запутался...
Приложения:
Ответ дал:
0
В пирамиде ЕАВСД ∠BKД=φ.
Пусть ВК=ДК=х.
В тр-ке BKД по т. косинусов ВД²=ВК²+ДК²-2ВК·ДК·cosφ=2х²(1-cosφ).
В тр-ке ВОК ВО=ВД/2, КО²=ВК²-ВО²=х²-х²(1-cosф)=х²cosφ.
В тр-ке АКО АО=ВД/2, sin²A=КО²/АО²=(1-cosφ)/сosφ.
cos²A=1-sin²A=1-[(1-cosφ)/сosφ)]=(2cosφ-1)/cosφ.
В тр-ке ЕАО ЕО=ЕА·sinA=b√[(1-cosφ)/cosφ].
AO=EA·cosA=b√[(2cosφ-1)/cosφ].
Площадь основания: S=d²/2=2АO².
Объём пирамиды: V=SH/3.
V=2АО²·ЕО/3.

Пусть ВК=ДК=х.
В тр-ке BKД по т. косинусов ВД²=ВК²+ДК²-2ВК·ДК·cosφ=2х²(1-cosφ).
В тр-ке ВОК ВО=ВД/2, КО²=ВК²-ВО²=х²-х²(1-cosф)=х²cosφ.
В тр-ке АКО АО=ВД/2, sin²A=КО²/АО²=(1-cosφ)/сosφ.
cos²A=1-sin²A=1-[(1-cosφ)/сosφ)]=(2cosφ-1)/cosφ.
В тр-ке ЕАО ЕО=ЕА·sinA=b√[(1-cosφ)/cosφ].
AO=EA·cosA=b√[(2cosφ-1)/cosφ].
Площадь основания: S=d²/2=2АO².
Объём пирамиды: V=SH/3.
V=2АО²·ЕО/3.
Приложения:
Вас заинтересует
3 года назад
3 года назад
8 лет назад
8 лет назад
10 лет назад
10 лет назад
10 лет назад