• Предмет: Геометрия
  • Автор: zabawa45
  • Вопрос задан 9 лет назад

1. Найдите диагональ, площадь полной поверхности и объем параллелепипеда по трем его измерениям: a=15см, b=1см, h=20см.
2. Дана правильная четырехугольная пирамида, сторона основания равна 16 см, а апофема 10 см. Найдите площадь полной поверхности и объем пирамиды.
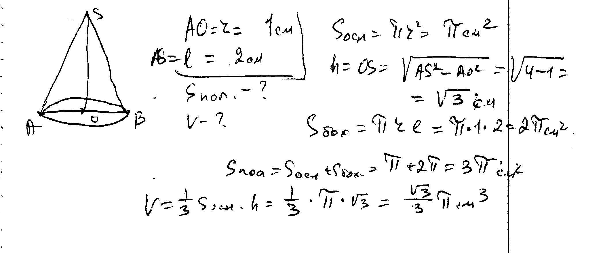
3. Радиус конуса равен 1 см, образующая 2 см. Найдите пощадь полной поверхностии объем конуса.

Ответы

Ответ дал: ужнеужели
0
решение в скане............
Приложения:
Вас заинтересует