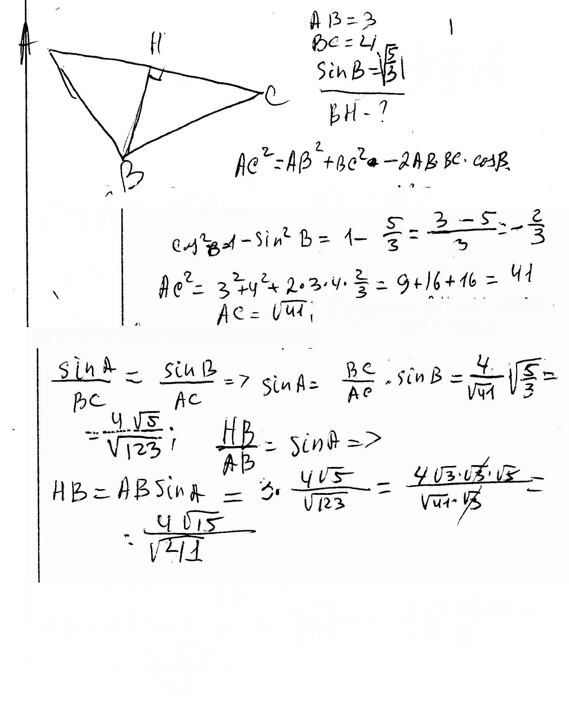
Найдите высоту проведенную к большей стороне AC тупоугольного треугольника ABC, если известно, что AB = 3,BC=4,sinB=корень из 5/3 . Помогите пожалуйста
Ответы
Ответ дал:
0
Решение в скане......
Приложения:

Ответ дал:
0
Про медиану?
Ответ дал:
0
да
Ответ дал:
0
Я нашел ее
Ответ дал:
0
хорошо
Ответ дал:
0
смотрите здесь. http://znanija.com/task/19142337
Вас заинтересует
2 года назад
2 года назад
7 лет назад
7 лет назад
9 лет назад
9 лет назад
10 лет назад